2021年12月,首个由加州再生医学研究所资助,梅奥诊所等六个医学中心参与的干细胞分泌神经营养因子(MSC-NTF)治疗ALS(渐冻症)三期(历时三年)临床研究结果揭晓,虽然未达到主要终点,但是依然很多亮点和收获,值得我们一起来学习。


之前的几项1/2期研究已经证实MSC-NTF在单次鞘内给药后可以改变了神经保护和神经炎性脑脊液(CSF)生物标志物,并初步证明了疗效和安全性。

此次三期研究旨在评估诱导间充质干细胞分泌高水平的神经营养因子(MSC-NTF)是否可以安全地减缓ALS疾病的进展。
关于MSC-NTF来源
自体MSC-NTF细胞由患者自身的骨髓细胞制造。由Brainstorm公司从患者的骨髓中分离出间充质干细胞(MSCs),然后在特殊条件下培养并诱导细胞分泌多种已知在神经系统中很重要的生长因子,之后将自体MSC-NTF细胞注射到脑脊液中。
临床试验方法
BCT-002研究(NCT03280056)是一项在六个美国学术中心(包括梅奥诊所等,如下图)进行的平行组、随机、双盲、安慰剂对照研究。

参与者在第0、8和16周接受了鞘内治疗,随后是12周的观察期。

符合条件的参与者年龄为18-60岁,根据修订的El Escorial标准(ALS诊断标准),修订的ALS功能评定量表(ALSFRS-R) ≥25分(筛选)且在随机化前ALSFRS-R评分下降≥3分的ALS参与者,允许受试者服用稳定剂量的利鲁唑。
参与者接受三次鞘内MSC-NTF或安慰剂治疗。主要终点通过应答者分析和安全性评估MSC-NTF的疗效。治疗后疾病进展的变化≥1.25分/月定义为临床缓解。一项预先指定的分析利用基线als FRS-R 35作为亚组阈值。

试验结果
MSC-NTF治疗耐受性良好;没有安全问题。
33%的MSC-NTF和28%的安慰剂参与者在28周时符合临床反应标准(优势比[OR] = 1.33,P= .45),因此非常遗憾的是,该三期临床研究未达到主要终点。
但欣慰的是,在对病情较轻的基线ALSFRS-R ≥ 35 (n = 58)的受试者的分析结果显示,在28周时,MSC-NTF组和安慰剂组的临床缓解率分别为35%和16%(OR = 2.6,P= .29),有显著的统计学差异。另外多种事后分析结果显示,患有较轻晚期疾病的MSC-NTF参与者比安慰剂组保留了更多的运动功能。
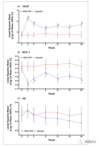
同时MSC-NTF治疗组观察到神经炎症、神经变性和神经营养因子支持的脑脊液生物标志物显著改善,而安慰剂组无变化。作者表示,该临床试验生物标记数据的全面分析将单独发表。

讨论
针对以上结果,作者认为可能原因是部分参与该研究的参与者病情太过晚期,从而导致了对整体数据的稀释效应,从而降低了在研究人群中治疗效果的显示。另外ALS量表ALSFRS-R在晚期病人身上的不敏感性,也是导致最终主要终点未达到的原因之一。
总之,与安慰剂相比,疾病不太严重的MSC-NTF治疗者可以保留了更多的功能。MSC-NTF对主要和次要疗效(从基线到28周的变化)结果具有潜在的治疗效果。生物标记物分析提供了与多种已知ALS疾病途径相关的MSC-NTF疗法的作用机制相一致的靶标参与证据。这些数据将有助于推进MSC-NTF细胞疗法在ALS中的作用,了解生物标志物和疾病进展之间的关系,并进一步惠及更广泛的ALS患者群。
考虑到未满足的ALS患者需求,这项试验的结果需要进一步的研究。
参考文献:
A randomized placebo-controlled phase 3 study of mesenchymal stem cells induced to secrete high levels of neurotrophic factors in amyotrophic lateral sclerosis
编辑:小果果,转载请注明出处:https://www.cells88.com/cells/gxb/12421.html
免责声明:本站所转载文章来源于其他平台,主要目的在于分享行业相关知识,传递当前最新资讯。图片、文章版权均属于原作者所有,如有侵权,请及时告知,我们会在24小时内删除相关信息。
说明:本站所发布的案例均摘录于文献,仅用于科普干细胞与再生医学相关知识,不作为医疗建议。

微信扫一扫
支付宝扫一扫