在所有接受关节镜检查的病人中,有软骨病变的占60%,其中67%是局灶性软骨缺损,关节软骨损伤临床发病率较高。外伤、劳损、老龄化等均是软骨损伤的常见病因及风险因素。软骨损伤可诱发关节疼痛、骨关节炎甚至功能障碍。关节软骨因其乏血管、乏细胞的特性而难以修复和再生。
软骨损伤的治疗可以分为两类,保守治疗和手术治疗。保守治疗仅在一定程度上阻断炎症,缓解疼痛。手术治疗包括微骨折术、软骨移植术、自体软骨细胞植入术等,有助于软骨修复,但是再生的软骨和天然软骨仍有差异,并有各自的局限性。单髁置换术和关节置换术则是软骨病变严重者最后的选择,大多数是老年病人,但因创伤较大而面临诸多限制,因此急需开发一种针对大型软骨缺损的老年患者群体的创新性再生疗法。
近期,韩国学者在《骨科运动医学杂志》发表一篇文章,证实UCB-MSC-HA(脐带血间充质干细胞与透明质酸水凝胶复合物)移植治疗可帮助修复软骨,与微骨折手术相比,在长达5年的时间内,使用新疗法的患者在疼痛和功能方面得到了更好的改善。这为全厚度软骨损伤的老年患者提供了全新的再生治疗可能。
本次研究总共有114名患者参与,他们被随机分配到UCB-MSC-HA移植治疗组(57名患者,平均年龄55.3岁)和微骨折手术治疗组(57名患者,平均年龄54.4岁)。
下图向我们展示实验组治疗的过程。在关节镜手术后,暴露软骨缺陷,在软骨上制造了多个直径5×5mm的钻孔,每个钻孔相距约 2mm,在钻孔中植入UCB-MSC-HA复合材料。
在ICRS宏观软骨修复评估得分上,UCB-MSC-HA组明显高于微骨折手术治疗组。以ICRS宏观软骨修复评估等级达1级或2级作为软骨的恢复指标,结果发现,UCB-MSC-HA组与微骨折手术组达到这一指标的比例分别为65.1%和45.7%。
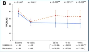
随访5年时,UCB-MSC-HA组VAS疼痛评分明显优于微骨折手术治疗组;随访3年和5年UCB-MSC-HA组的WOMAC和IKDC评分明显优于微骨折手术治疗组。



显然,这一研究结果对于软骨损伤的老年患者而言,是一个好消息。软骨损伤可以得到更好的修复,从而减轻病痛提高生活质量。
我们相信在未来,一定会出现更加成熟的干细胞药物,结合更多新兴技术,为更多的老年软骨损伤患者提供治疗的机会,改善当前的临床困境。
编辑:小果果,转载请注明出处:https://www.cells88.com/cells/gxb/5289.html
免责声明:本站所转载文章来源于其他平台,主要目的在于分享行业相关知识,传递当前最新资讯。图片、文章版权均属于原作者所有,如有侵权,请及时告知,我们会在24小时内删除相关信息。
说明:本站所发布的案例均摘录于文献,仅用于科普干细胞与再生医学相关知识,不作为医疗建议。

微信扫一扫
支付宝扫一扫