挪威的一项小型研究表明,大约五分之四的复发缓解型多发性硬化症(RRMS)患者在接受干细胞移植后,至少六年内不再复发,这可能意味着他们能够重返工作岗位。
这项名为 "自体造血干细胞移植治疗多发性硬化症:来自挪威的长期随访数据 "的报告发表在《多发性硬化症杂志》上。

RRMS是多发性硬化症(MS)最常见的类型,约占所有新诊断病例的90%。这种类型的患者会经历突然出现新症状或症状恶化的时期,称为复发或发作期,随后是症状缓解或消失的缓解期。
一般来说,复发次数较多、缓解期症状恢复较差的患者残疾累积速度较快,这对日常生活和工作都会造成挑战。即使对工作场所进行了调整,他们也可能需要减少工作时间,有些人可能再也无法保住工作。
越来越多的证据表明,自体造血干细胞移植(HSCT)或干细胞移植可能对复发性多发性硬化症有帮助,尤其是当疾病更加活跃或患者对现有的多发性硬化症治疗无效时。
该手术旨在重置免疫系统,抑制导致多发性硬化症的过度炎症,帮助患者进入持续缓解期。
干细胞移植的长期益处
干细胞移植包括从血液或骨髓中采集患者自身的造血(或造血)干细胞。然后进行化疗和/或放射治疗,以灭活免疫系统,再将干细胞回输,以产生全新的免疫系统。从理论上讲,这样产生的免疫细胞不会攻击神经系统,有助于减少导致多发性硬化症长期存在的炎症。
在这里,挪威的研究人员对29名平均年龄为31岁的成年人进行了研究,他们在接受自体造血干细胞移植前一年至少复发了两次,尽管他们正在接受疾病调整疗法(DMT)。大多数患者使用过两到四种 DMTs。
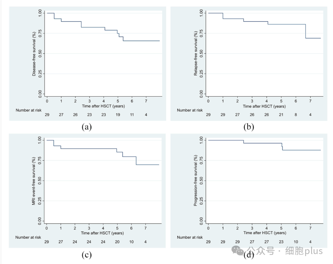
在平均 70 个月(近六年)的时间里,约有三分之二的患者(69%)保持了无疾病活动证据(NEDA-3)的状态,这意味着他们没有复发,没有残疾恶化,核磁共振扫描也没有新的疾病活动迹象。

无复发生存期、MRI 无事件生存期、无进展生存期和无病生存期(达到 NEDA-3 状态的患者)的 Kaplan-Meier 生存曲线:(a) 无病生存期,(b) 无复发生存期,(c) MRI 无事件生存期,以及 (d) 无进展生存期。
在出现疾病活动迹象的患者中,最常见的是在核磁共振扫描中发现新的损害区域,占21%的患者。17%的患者病情复发,10%的患者确诊为残疾进展。一般来说,有疾病活动的患者在移植前的残疾程度明显更高。
10%的患者出现残疾进展,表现为扩展残疾状况量表(EDSS)评分持续上升,38%的患者残疾状况有所改善,即EDSS评分下降。其余患者的得分保持稳定。五年后,EDSS评分的中位数比移植前下降了0.4分。
尽管采取非清髓疗法,即患者接受一个不那么激进的化疗和/或放疗疗程,以抑制免疫系统,让新干细胞在骨髓中定居,但仍观察到了这些益处。
研究人员写道:"我们的研究结果表明,非清髓造血干细胞移植是一种治疗替代方案,在疾病活动性方面具有类似或更好的反应。自体造血干细胞移植前,29 名参与者中只有一人(3%)从事全职工作,两年后增加到 10 人(33%),五年后增加到 15 人(52%)。移植前有五名(17%)患者享受全职残疾津贴,移植五年后增加到10名(35%)。据研究人员称,这一增长实现了 "未达到NEDA的患者的同等规模"。
在随访期间,17%的患者患上了自身免疫性甲状腺疾病,62%的患者卵巢功能衰竭。尽管如此,仍有17%的患者生育了子女,其中一人在移植后接受了卵巢组织移植。
目前对多发性硬化症的治疗建议包括使用CD-20抗体,例如利妥昔单抗、奥克利珠单抗或奥法妥尤单抗,这些抗体在预防多发性硬化症复发和新病变形成方面已证明具有很高的疗效。
本研究结果表明,非清髓性 HSCT 代表了一种治疗替代方案,在疾病活动方面具有相似或更好的反应。此外,造血干细胞移植是一种一次性的治疗程序,可使患者免于长期免疫抑制,增加感染风险。然而,造血干细胞移植还有其他副作用,包括过早绝经和甲状腺疾病的风险。
关于疾病活动和工作参与的积极和持久的结果提出了一个问题,即是否应该用 HSCT 而非DMT治疗更多的MS患者。正在进行的 RAM-MS (NCT03477500)、STAR-MS (NCT03477500)和 BEAT-MS (NCT 04047628)等随机临床试验可能会揭示更多信息,因为这些试验将治疗失败的 RRMS 患者随机分配到HSCT组或高强度DMT组,因此我们还需要更多的信息和依据,来给多发性硬化患者和家属提供临床建议。

编辑:小果果,转载请注明出处:https://www.cells88.com/cells/gxb/38784.html
免责声明:本站所转载文章来源于其他平台,主要目的在于分享行业相关知识,传递当前最新资讯。图片、文章版权均属于原作者所有,如有侵权,请及时告知,我们会在24小时内删除相关信息。
说明:本站所发布的案例均摘录于文献,仅用于科普干细胞与再生医学相关知识,不作为医疗建议。

微信扫一扫
支付宝扫一扫